Nuevo reloj del envejecimiento que predice la pérdida muscular
Clasifica a las personas según su envejecimiento muscular y usa nuevos biomarcadores sanguíneos
Llega el nuevo reloj epigénetico que mide el envejecimiento con una muestra de sangre
"Para prevenir la sarcopenia hay que realizar ejercicio aeróbico y de f
El entrenamiento de resistencia en la jubilación preserva la fuerza vital de las piernas
La sarcopenia es una enfermedad muscular esquelética generalizada y progresiva relacionada con cambios negativos en la salud que se acumulan a lo largo de la vida. Es común entre adultos mayores, pero también ocurre más temprano en la vida, lo que lleva a una mayor probabilidad de caídas, fracturas, discapacidad y mortalidad. Literalmente significa "pobreza es escasez de carne"
Y se reconoce como un trastorno más amplio donde se detectan reducciones en la fuerza muscular, la cantidad/calidad muscular y el rendimiento físico. La patogénesis multifactorial sustenta esta condición. Desde un punto de vista fisiopatológico, las anormalidades endocrinas y metabólicas interactúan con la inflamación crónica de bajo grado (es decir, "inflammaging"), que se observa en personas mayores, como demuestran estudios como el publicado en 'Current Opinion in Clinical Nutrition and Metabolism Care', lo que lleva a una reducción de la síntesis y regeneración de proteínas, y un patrón paralelo de desgaste muscular debido al aumento de la apoptosis y la lisis de proteínas.
Sarcopenia
Si bien los profesionales de la salud son ahora más conscientes de esta afección y reconocen su impacto negativo en la salud, este conocimiento no se ha trasladado plenamente a la práctica clínica. En consecuencia, la sarcopenia sigue estando infradiagnosticada e infratratada, lo que supone una carga financiera considerable para los sistemas de salud debido a la fragilidad inherente, un mayor riesgo de hospitalización y un mayor coste de la atención durante la hospitalización para los pacientes sarcopénicos en comparación con los no sarcopénicos, tal y como refleja una investigación de 'Journal of Gerontology'.
Entre el número de iniciativas lanzadas para avanzar en el conocimiento sobre la sarcopenia e impulsar enfoques preventivos/terapéuticos, el Grupo de Trabajo Europeo sobre Sarcopenia en Personas Mayores (EWGSOP) ha emergido como el más influyente en la concientización y el avance del campo. El consenso del EWGSOP introdujo primero una definición clínica amplia para la sarcopenia que no se limita a la pérdida muscular, como se apunta en 'Age and Aging'.

Esto finalmente se desarrolló más recientemente (EWGSOP2) para mover la debilidad muscular y el rendimiento reducido al primer plano como indicadores primarios de sarcopenia. Las recomendaciones del EWGSOP2 también desarrollaron un algoritmo para la búsqueda de casos, el diagnóstico y la determinación de la gravedad para una identificación consistente de personas con sarcopenia o su riesgo, y puntos de corte simples y específicos para las medidas que identifican y caracterizan la sarcopenia.
Si bien el algoritmo de EWSGOP2 para la detección de sarcopenia ha aumentado indudablemente la concienciación sobre esta afección, su naturaleza categórica no permite obtener automáticamente un resultado que cuantifique el grado de la misma. Por el contrario, una medida cuantitativa escalar ayudaría a identificar a las personas que no se consideran sarcopénicas a pesar de presentar alteraciones subclínicas que potencialmente ameritan estrategias preventivas. Este marcador también permitiría determinar si las intervenciones dirigidas a mitigar la sarcopenia son realmente eficaces.
Nuevo biomarcardor
Aging ha publicado un nuevo estudio titulado "Desarrollo de una estimación cuantitativa de la aceleración de la edad muscular mediante un nuevo reloj fenotípico: estudio transversal en adultos sanos, de mediana edad y mayores".
En este estudio, dirigido por los autores principales Lucia Ventura, Antonella Cano y Marco Morrone, junto con la autora correspondiente Franca Deriu de la Universidad de Sassari (Italia), los investigadores presentan un nuevo método para predecir el envejecimiento muscular, ofreciendo un sistema de alerta temprana para la sarcopenia, la pérdida muscular relacionada con la edad. El estudio demuestra cómo un enfoque simple y económico puede identificar a los adultos de mediana edad y mayores con mayor riesgo de deterioro de la salud muscular, lo que permite implementar estrategias preventivas oportunas.
Aceleración de la Edad Muscular (MAA)
Los investigadores desarrollaron una herramienta llamada Aceleración de la Edad Muscular (MAA), que mide la velocidad del envejecimiento muscular de una persona en comparación con su edad real. Al analizar pruebas de rendimiento físico y composición corporal en 215 participantes sanos de entre 50 y 90 años, los investigadores descubrieron que aproximadamente el 25% de los participantes experimenta un envejecimiento muscular acelerado. Estas personas tenían una mayor probabilidad de desarrollar sarcopenia, a pesar de parecer sanas y aún no haber recibido un diagnóstico de la enfermedad.

MAA clasifica a las personas en envejecimiento muscular acelerado, normal o desacelerado.
Este nuevo reloj muscular ofrece la oportunidad de detectar cambios sutiles en la salud muscular antes de que progresen a etapas más graves.
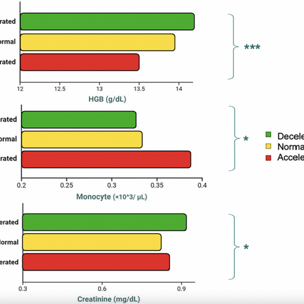
Mediante pruebas comunes como la fuerza de prensión manual, la velocidad de marcha y las evaluaciones de movilidad, la herramienta MAA puede clasificar a las personas en envejecimiento muscular acelerado, normal o desacelerado. Quienes presentaron envejecimiento muscular acelerado también mostraron pequeños cambios en los marcadores sanguíneos, lo que sugiere una inflamación temprana y oculta relacionada con el deterioro muscular. Este hallazgo indica que la MAA puede actuar como predictor del envejecimiento muscular y como indicador de riesgos generales para la salud.
Según la MAA, se identificaron tres trayectorias: los pacientes con envejecimiento acelerado presentaron un mayor riesgo de sarcopenia (19 %), en comparación con los pacientes normales ) y los pacientes con envejecimiento desacelerado, acompañado de alteraciones subclínicas significativas de los marcadores hematoquímicos en los pacientes con envejecimiento acelerado.
Si se valida en estudios futuros, este innovador enfoque podría transformar la forma en que los profesionales sanitarios y los cuidadores detectan los primeros signos de sarcopenia. Su simplicidad lo hace adecuado para su uso en clínicas y entornos comunitarios, ayudando a las personas mayores a mantener su independencia y calidad de vida a medida que envejecen.
En resumen, estos hallazgos resaltan la importancia de monitorear la salud muscular y el rendimiento físico en adultos mayores. Al detectar signos tempranos de envejecimiento muscular con herramientas como la MAA, se pueden implementar intervenciones como el ejercicio y cambios en la dieta de forma más temprana, lo que podría retrasar o prevenir la sarcopenia y sus complicaciones.



